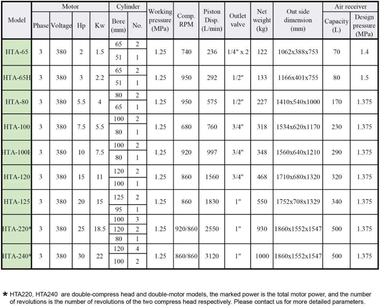
Model: HTA-120
Công suất Motor: 15 Hp / 11 Kw
Pha / Điện áp: 3 Pha / 380V
Áp suất làm việc tiêu chuẩn: 1.25 MPa (12.5 kg/cm²G)
Lưu lượng khí nén: 1560 L/min
Cấu hình đầu nén: Đầu nén đôi (2xØ120 mm & 1xØ100 mm)
Tốc độ vòng quay: 860
Kích thước (Dài x Rộng x Cao): 1710 x 680 x 1320 mm
Trọng lượng (Net weight): 468 kg
Dung tích bình chứa: 320 L
Kiểu máy: Piston, Áp lực cao, Làm mát bằng gió
Xuất xứ: Đài Loan


